Ответы
Ответ дал:
1
Ответ:
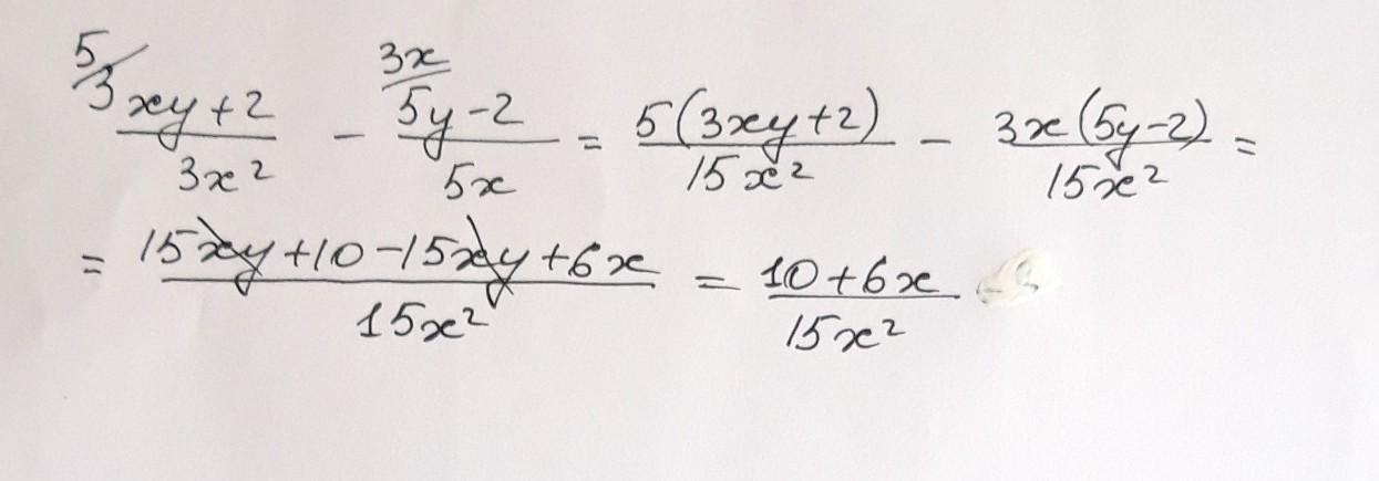
(10+6х)/15х^2
Объяснение:
Прошу 3мин. на загрузку.
Приложения:

handzizoemessme:
Спасибо, за пояснение )
Ответ дал:
1
пшнжрүрьгарзлашпщчшпгвозх
Приложения:

Вас заинтересует
2 года назад
2 года назад
2 года назад
7 лет назад
9 лет назад