Ответы
Ответ дал:
0
Ответ:
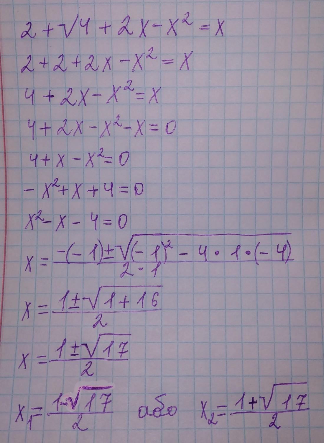
х1=1+D/2
x2=1-D/2
Объяснение:
2+2+2х-x^2=x
2+2+2x-x^2=x
4+x-x^2=0
D=-1^2-16=корінь квадратний з 17
х1=1+D/2
x2=1-D/2
Ответ дал:
1
Ответ:
Вот ответ, не благодари
Приложения:

Вас заинтересует
2 года назад
2 года назад
2 года назад
7 лет назад
9 лет назад