Какие точки принадлежат графику функции ?
Приложения:

KubiSheep:
Какой формулой график задан?
Ответы
Ответ дал:
1
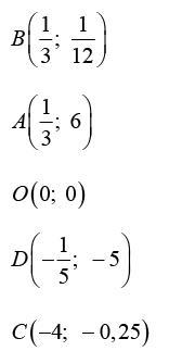
C и D, так как А(x;y)
y = 1/x
O не подходит, так как нельзя делить на 0
B не подходит, так как y = 1/(1/3) = 1*3 = 3, должно быть (1/3; 3)
A не подходит по той же причине, что и В.
D подходит, так как y = 1/x = 1/(-1/5) = 1*(-5) = -5
C подходит, так как y = 1/x = 1/(-4) = 1*(-1/4) = -0.25
y = 1/x
O не подходит, так как нельзя делить на 0
B не подходит, так как y = 1/(1/3) = 1*3 = 3, должно быть (1/3; 3)
A не подходит по той же причине, что и В.
D подходит, так как y = 1/x = 1/(-1/5) = 1*(-5) = -5
C подходит, так как y = 1/x = 1/(-4) = 1*(-1/4) = -0.25
Вас заинтересует
2 года назад
2 года назад
2 года назад
2 года назад
7 лет назад
7 лет назад
9 лет назад
9 лет назад