• Предмет: Алгебра
  • Автор: sofia0527
  • Вопрос задан 3 года назад

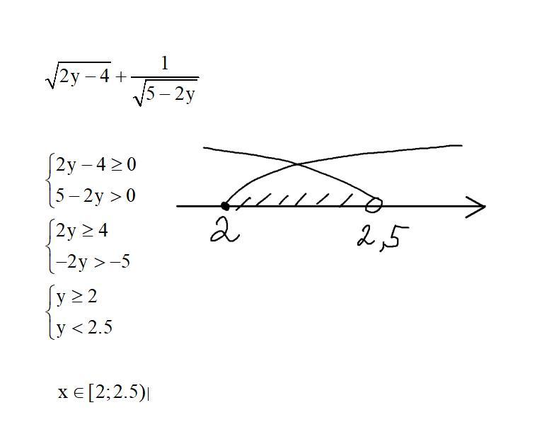
При которых значениях переменной имеет смысл выражение \sqrt{2y - 4} + \frac{1}{\sqrt{5-2y} }

Ответы

Ответ дал: vityamath
0

Ответ:

!!!!!!!!!!!!

Объ!яснение:

Приложения:
Вас заинтересует