Ответы
Ответ дал:
1
Ответ:
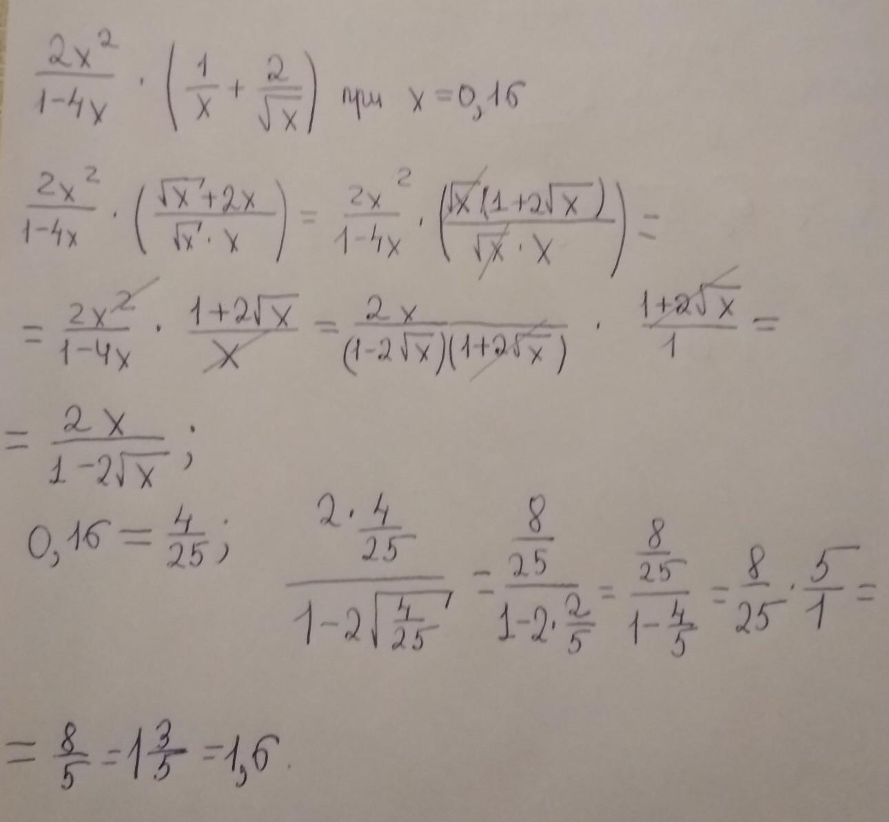
ответ:1,6
Объяснение:
смотри фото.
Приложения:

Вас заинтересует
2 года назад
2 года назад
7 лет назад
9 лет назад