При каком значении а графики функций у=2х^2-5х+6 и у=х^2-7х+а имеют одну общую точку? Найдите координаты этой точки
ПОМОГИТЕ ПЛИИИИЗ
Аноним:
(-1;13)
Ответы
Ответ дал:
2
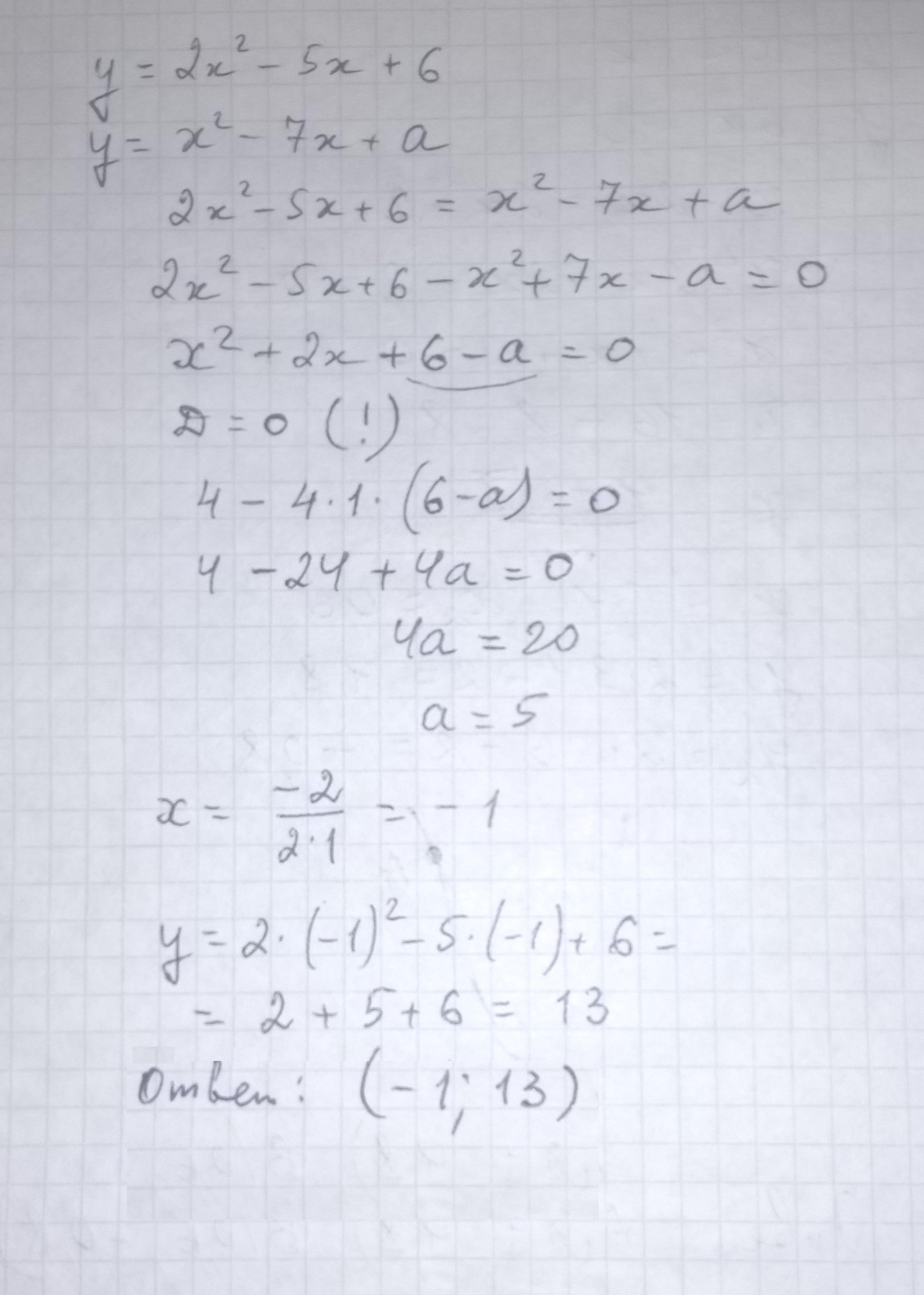
Ответ:
решение на рисунке
Объяснение:
Приложения:

Вас заинтересует
2 года назад
2 года назад
2 года назад
7 лет назад
7 лет назад
9 лет назад