• Предмет: Алгебра
  • Автор: HotPieAZ
  • Вопрос задан 3 года назад

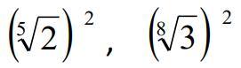
Вычислите оба примера, пожалуйста:

Приложения:

Ответы

Ответ дал: userRealName
1

Ответ:

((2^(1/5))^2 = 2^(2/5)

((3^(1/8))^2 = 3^(2/8) = 3^(1/4)

Объяснение:

^ - в степени

Вас заинтересует