Ответы
Ответ дал:
1
Ответ:
наверное так надеюсь правильно
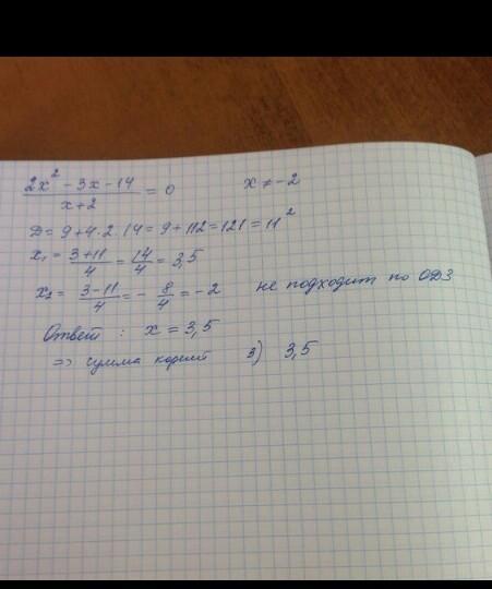
Приложения:

Ответ дал:
1
Ответ:
1) Уравнение равно 0, если один из его сомножителей равен 0
2) Первый сомножитель, это √(2х²-3х-14). Он равен 0 если подкоренное выражение равно 0.
Т.е 2х²-3х-14=0 Корни этого уравнения 7/2 и -2.
3) Второй сомножитель, это х²-3х+2, также должен быть равен 0
Т.е х²-3х+2=0 Корни этого уравнения 2 и -1
4) Сумма корней: 3,5-2+2-1=2,5
Здоровья и удачи!
Пошаговое объяснение:
Вас заинтересует
2 года назад
2 года назад
2 года назад
2 года назад
7 лет назад
7 лет назад
9 лет назад