• Предмет: Алгебра
  • Автор: yokoquerro
  • Вопрос задан 3 года назад

Решите пожалуйста!!!

Приложения:

Ответы

Ответ дал: Аноним
3

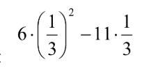
6 ×(⅓)² - 11 × ⅓ = -3.

1) 6 × (⅓)² = 6 × 1/9 = ⅔

2) 11 × 1/3 = 11/3

3) ⅔ - 11/3 = - 9/3 = - 3.

Удачи))))

Вас заинтересует