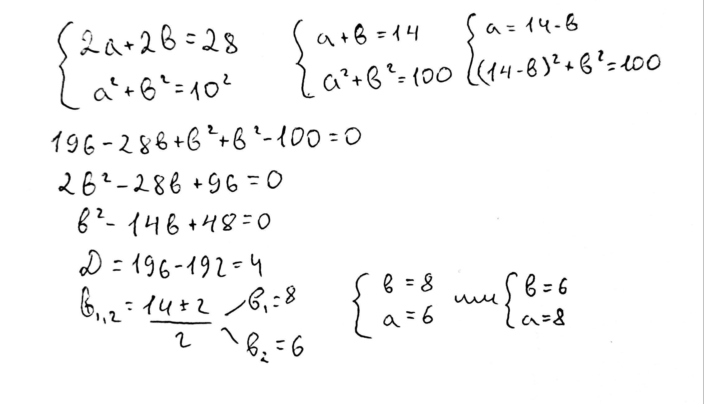
Найдите систему уравнений для сторон прямоугольника с периметром 28 см и диагональю 10 см.
Ифигения:
Так "найдите" или "решите"?
Ответы
Ответ дал:
2
Ответ:
Объяснение:
Во вложении
Приложения:

Вас заинтересует
2 года назад
2 года назад
2 года назад
2 года назад
7 лет назад
9 лет назад
9 лет назад