• Предмет: Математика
  • Автор: habibara632
  • Вопрос задан 3 года назад

Помогите пожалуйста с уравнениями!!

Приложения:

Ответы

Ответ дал: starlizz
1

Ответ:

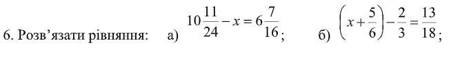
а) х= 10 11/24 - 6 7/16

   х= 10 22/48 - 6 21/48

   х= 4 1/48

б) х+ 5/6 = 13/18+2/3

   х+ 5/6 =  13/18+12/18

   х+ 5/6 = 25/18

   х= 25/18-5/6

   х= 25/18-15/18

   х= 10/18

   х= 5/9


habibara632: Спасибо вам!
Ответ дал: bapataidamir2004
0

Ответ:

Пошаговое объяснение:

a) 10\frac{11}{24} -x = 6\frac{7}{16} \\\\10\frac{44}{96} -x = 6\frac{42}{96} \\\\x=10\frac{44}{96} -6\frac{42}{96}\\\\x=4\frac{2}{96}=4\frac{1}{48}

b)(x+ \frac{5}{6} )-\frac{2}{3}= \frac{13}{18} \\\\(x+ \frac{15}{18} )-\frac{12}{18}= \frac{13}{18}\\\\x+ \frac{15}{18}=\frac{13}{18}+\frac{12}{18}\\\\x=\frac{25}{18}-\frac{15}{18}\\\\x=\frac{10}{18} =\frac{5}{9}

Вас заинтересует