• Предмет: Алгебра
  • Автор: TheStrike666
  • Вопрос задан 3 года назад

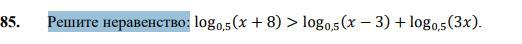
Решите данное неравенство:

Приложения:

Ответы

Ответ дал: table123
1

Ответ: (4; + ~)

Объяснение:

ОДЗ:  x+8>0,   x-3>0,  3x>0  или,  x>-8,  x>3,  x>0,  ОДЗ:  x>3

log0,5 (x+8) > log0,5 ((x-3)*3x),  x+8< 3x^2-9x,   3x^2-9x-x-8>0,  

3x^2-10x-8>0,   D=100+12*8=196=14^2,  x=4,  x=-2/3,

+ + + + + + + (-2/3) - - - - - - - -(4) + + + + + +  и т.к. по ОДЗ x>3,  то

решение:  (4; + ~ )


Аноним: только надо пояснить смену знака,по причине тього,что основание логорифма меньше 1.
Вас заинтересует