• Предмет: Математика
  • Автор: Ruben1338
  • Вопрос задан 3 года назад

Помогите решить, срочно....
(мало балов)(

Приложения:

Ответы

Ответ дал: rumanezzo
3

Пошаговое объяснение:

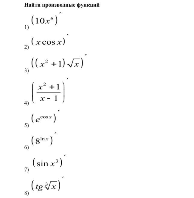
1) = 10 · 6x⁵ = 60x⁵

2) = cos x - x · sin x

3) = 2x ·√x + (x² + 1) · 1/(2√x) = 2x√x + (x² + 1)/(2√x)

4) = (2x(x - 1) - x² - 1)/(x - 1)² = (2x² - 2x - x² - 1)/(x - 1)² = (x² - 2x - 1)/(x - 1)²

5) = -e^(cos x) · sin x

6) = 8^(ln x) · ln 8 · 1/x

7) = cos x³ · 3x² = 3x² · cos x³

8) = 1/cos²(∛x) · 1/3 · x^(-2/3) = 1/cos²(∛x) · 1/3 · 1/(∛x²)

Вас заинтересует