Какова внутренняя энергия идеального газа, находящегося в закрытом сосуде вместимостью 1,5 л при комнатной температуре, если концентрация молекул газа равна 2∙1019 см-3?
Ответы
Ответ дал:
5
Ответ:
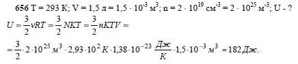
Решение к задаче представлено в виде картинки.
Приложения:

Вас заинтересует
2 года назад
2 года назад
2 года назад
7 лет назад
7 лет назад
9 лет назад
9 лет назад