• Предмет: Алгебра
  • Автор: marinafushich13
  • Вопрос задан 3 года назад

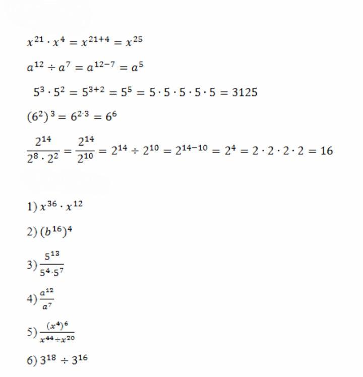
Допоможіть будь ласка
Помогите пж

Приложения:

Ответы

Ответ дал: lapina0305
0

Ответ:

1)x в степени 48

2)b в степени 84

3) 5 во 2= 25

4)а в степени 5

5)х в степени 8

6)3 во 2=9

Объяснение:

Вас заинтересует