• Предмет: Математика
  • Автор: Алексей3246
  • Вопрос задан 3 года назад

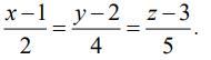
Найти точку, симметричную точке М (4, 3, 10) относительно прямой (на скрине)

Приложения:

Ответы

Ответ дал: GluV
4

Ответ:

(2,9,6)

Пошаговое объяснение:

Р1(1,2,3) это точка, которая лежит на прямой.

Координаты вектора Т коллинеарного с прямой - (2,4,5)

Найдем на прямой точку О такую, что вектор МО будет перпендикулярен вектору Т. Для этого надо найти такое х, чтобы скалярное произведение (Р1+х*Т-М,Т)=0 После подстановки координат получаем уравнение

45х-45=0 => x=1

Теперь найдем координаты точки P2=Р1+2х*Т=Р1+2*Т=(1,2,3)+(4,8,10)=(5,10,13)

Точка симметричная точке М является суммой следующих векторов

P1+(P2-M)=(1,2,3)+(5-4,10-3,13-10)=(2,9,6)


Алексей3246: Спасибо, но уже поздно
Вас заинтересует