• Предмет: Математика
  • Автор: tsfuftsufutstsuf
  • Вопрос задан 3 года назад

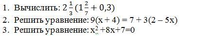
Помогите с решить уравнения даю 45 баллов

Приложения:

Ответы

Ответ дал: OmbreStupide
1

Ответ:

Пошаговое объяснение:

Приложения:
Вас заинтересует