• Предмет: Алгебра
  • Автор: sasha92929296
  • Вопрос задан 3 года назад

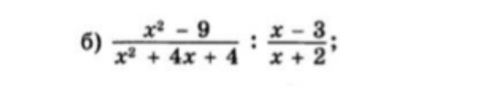
помогите пожалуйста!!! упростить вырожение. Алгебра​

Приложения:

Ответы

Ответ дал: irakon63
1

Ответ:

\frac{x+3}{x+2}

Объяснение:

=\frac{(x-3)(x+3)}{(x+2)^{2} } *\frac{x+2}{x-3} =\frac{x+3}{x+2}


sasha92929296: Спасибо большое!!!!
Ответ дал: nastya37979
1

Ответ:

(х+3)/(х-2)

Объяснение:

1)знаменатель: (х-3)(х+3)

в числителе находим дискриминант и корни: (х+2)(х-2)

2) делитель (делимое:делитель=частное), т.к. стоит деление перед дробью ,то при умножении дробь переварачивается: (х+2)/(х-3)

3) сокращаем (х-3) и (х+2)

4) ответ (х+3)/(х-2)


nastya37979: накосячила. КВАДРАТНОЕ уравнение имеет 1 корень х-2,то получается ответ просто х+3, проверьте пожалуйста с ответом
irakon63: там ответа не надо, там упростить!!! просто в знаменателе х+2, а не минус
nastya37979: я имела ввиду,под ответом упращенное выражение
Вас заинтересует