• Предмет: Математика
  • Автор: kolya443
  • Вопрос задан 3 года назад

Решите пожалуйста срочно!!​

Приложения:

kolya443: хорошо
blumbi: Тебе прям все примеры?
kolya443: да прям все
kolya443: желательно до 11:00 успеть
blumbi: а у вас сейчас сколько?
kolya443: 10:37
blumbi: Как добавить ещё
kolya443: не знаю
blumbi: Давай короче ссылку свою вк
blumbi: Потому что я хз как тут что-то сделать

Ответы

Ответ дал: blumbi
1

Ответ:

Пошаговое объяснение:

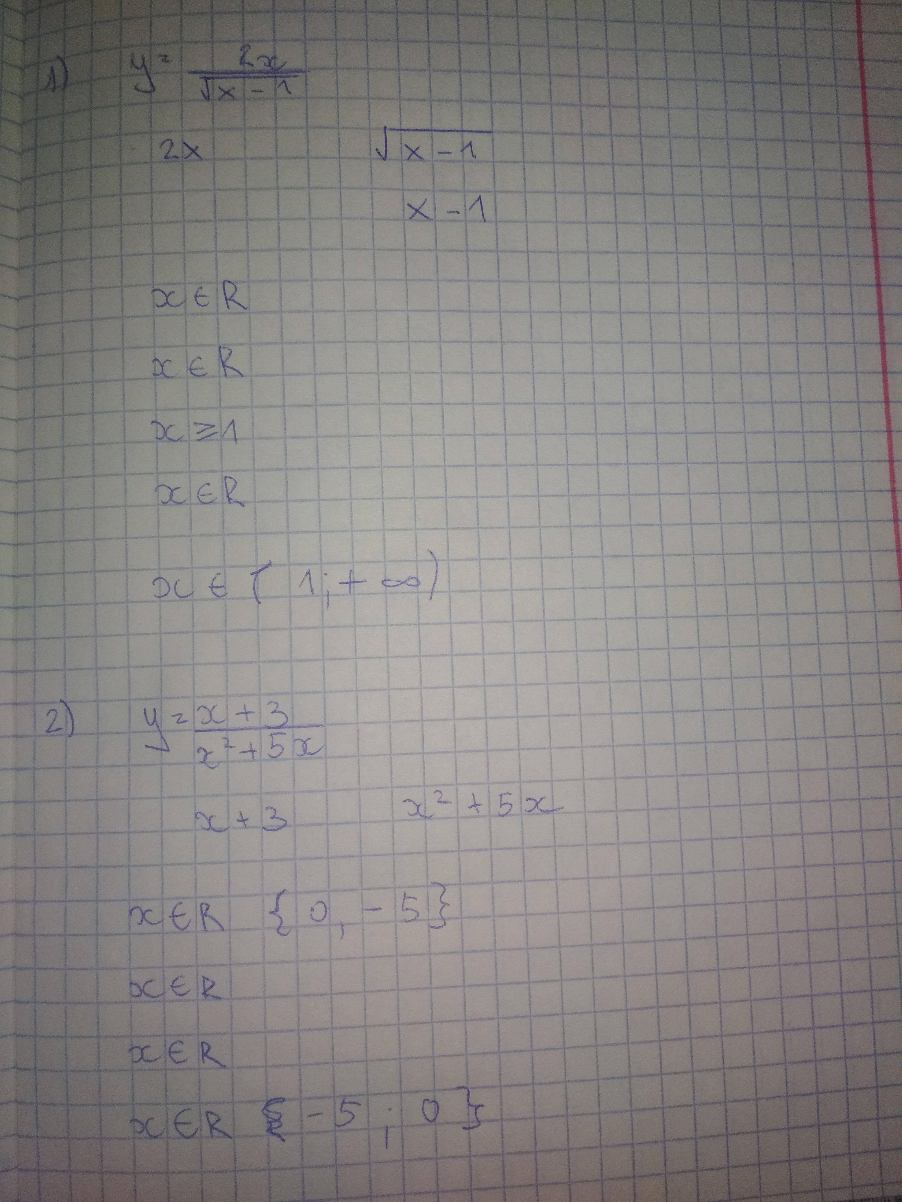
первые два

Приложения:

blumbi: что написать
blumbi: Короче
blumbi: Ща
blumbi: 2 минуты
kolya443: жду
blumbi: Прикрепила
blumbi: Сейчас ещё
blumbi: Ещё прикрепилась
blumbi: Всё
kolya443: пасибо
Вас заинтересует