• Предмет: Алгебра
  • Автор: ttt4638
  • Вопрос задан 3 года назад

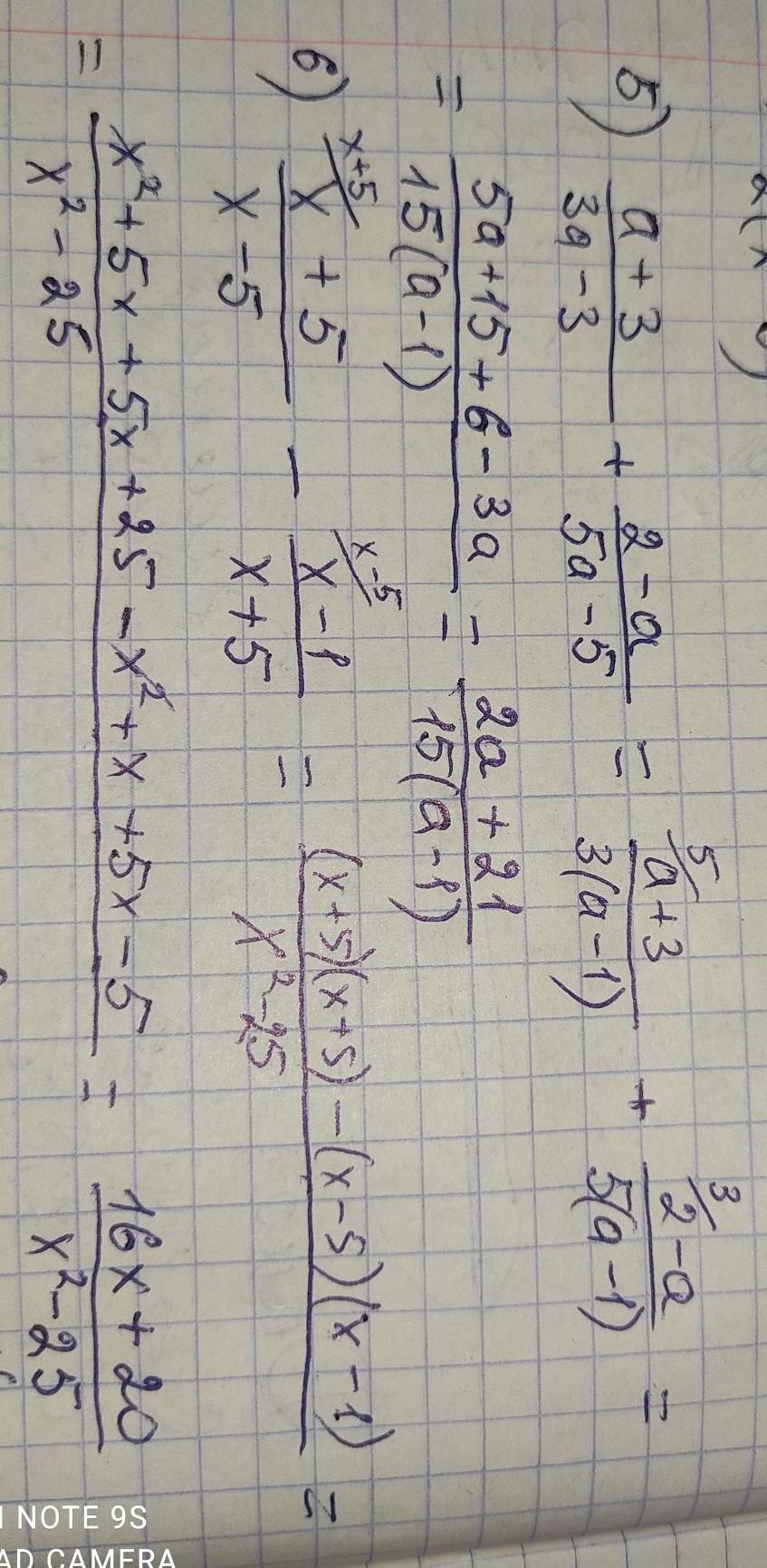
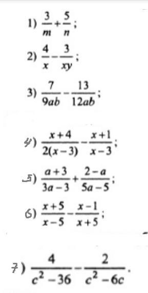
помогите пж ставлю 20б!!!!!!!!!!!!!!!!!!!!!
разобрать вопрос

Приложения:

Ответы

Ответ дал: тигруля4
1

Ответ:

расписано на листах, все 7 примеров

Объяснение:

надеюсь все понятно,

Приложения:

ttt4638: Спасибо
Вас заинтересует