два шара одинаковой массы движутся друг навстречу другу с одинаковой по модулю скоростями! равны ли импульсы этих шаров??если да то как нашли)
Ответы
Ответ дал:
0
Равны по модулю, т к p=mV
p - импульс
V-скорость
m-масса
(т к масса одинаковая и скорости равны по модулю)
Ответ дал:
0
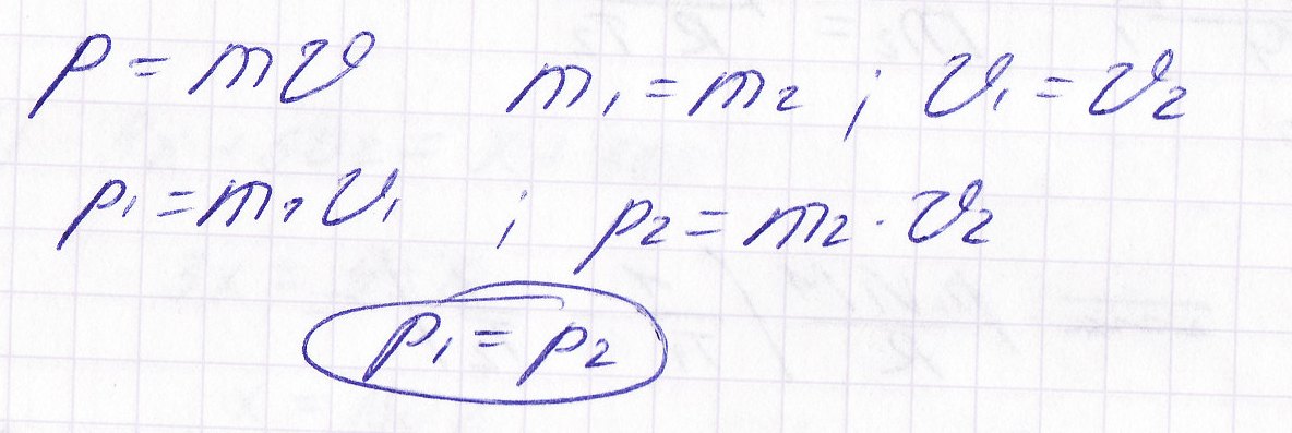
ну вот смотри, .....................
Приложения:

Вас заинтересует
8 лет назад
8 лет назад
10 лет назад
10 лет назад
10 лет назад