Те кто разбирается в интегралах, прошу помогите!!
Решите хотябы 4 задачи правильно.
Срочно нужно. Заранее спасибо за решение и за та что вы есть =)
Приложения:

Miroslava227:
Есть решение только 4 :( Добавить?
Ответы
Ответ дал:
1
Ответ:
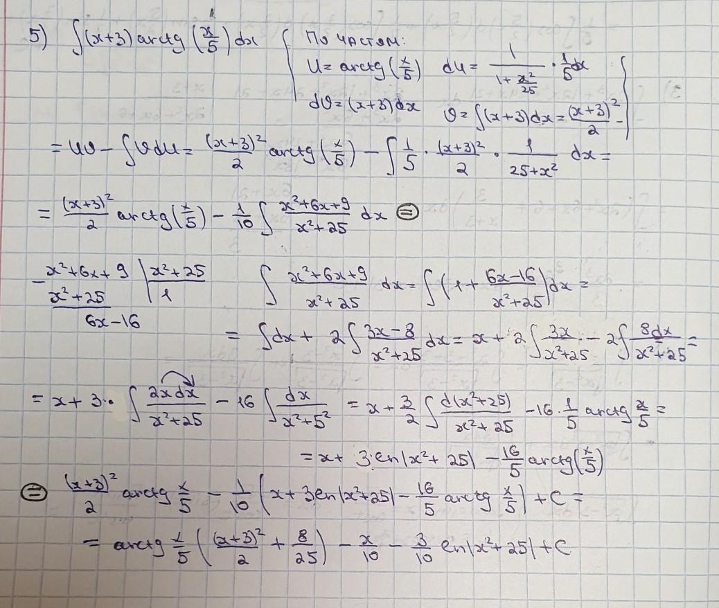
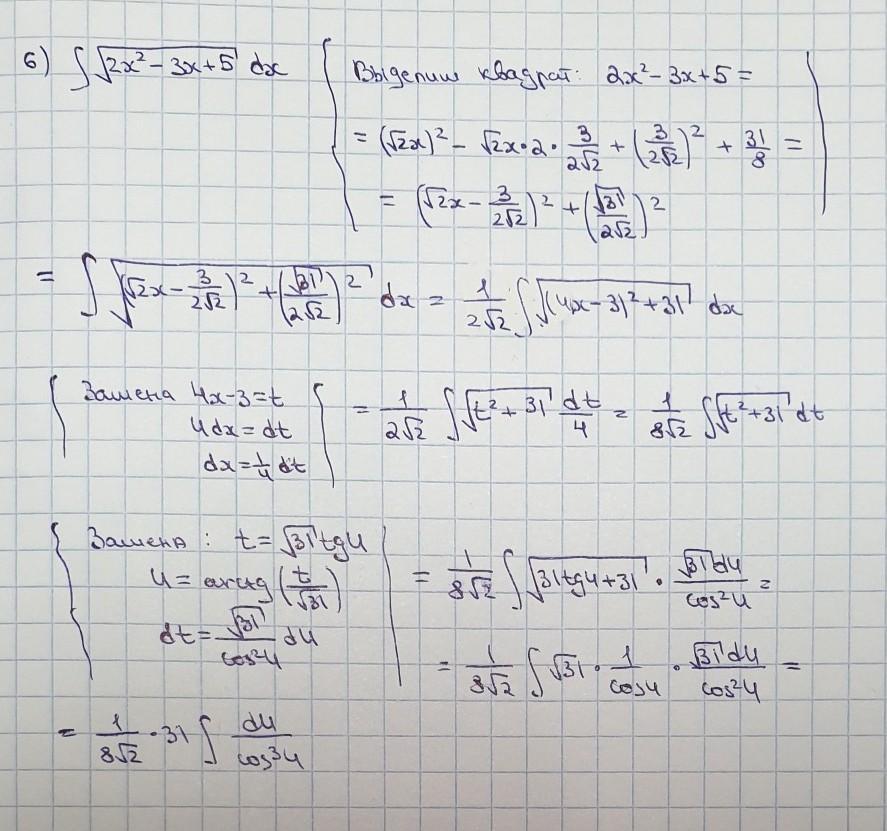
решение на фотографиях
Приложения:




Вас заинтересует
2 года назад
2 года назад
2 года назад
2 года назад
7 лет назад
9 лет назад
9 лет назад