• Предмет: Алгебра
  • Автор: kvnadvirna593
  • Вопрос задан 3 года назад

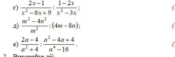
Подайте у вигляді дробу вирази​

Приложения:

Ответы

Ответ дал: daccaeononellse
1

Ответ:

Объяснение:....

Приложения:
Вас заинтересует