• Предмет: Геометрия
  • Автор: zhlkn
  • Вопрос задан 3 года назад

100 балів! Геометрія!!! Вирішіть задачу по геометрії, будь ласка

Приложения:

Ответы

Ответ дал: hill384
3

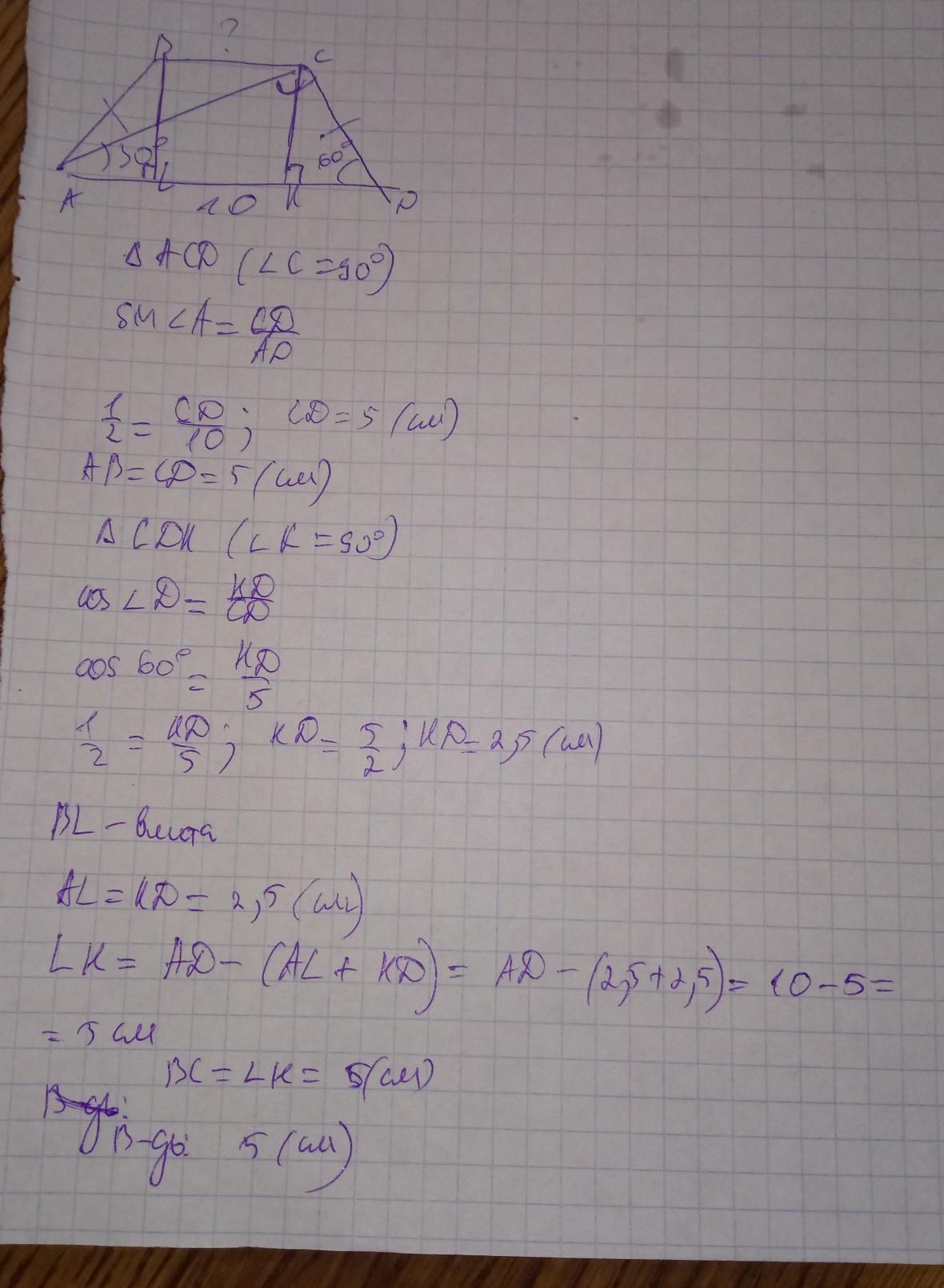
рішення на фото

.........

Приложения:

Andr1806: Можно и так: (после того, как найдена CD = АВ=5) треугольник АВС равнобедренный, так как угол ВСА равен углу САD = 30° - накрест лежащие, угол ВАD = 60 => угол ВАС = 30°. Значит АВ = ВС = 5 ед.
Вас заинтересует