• Предмет: Математика
  • Автор: oormms3
  • Вопрос задан 3 года назад

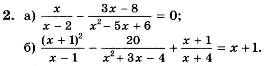
решите уравнение подробно​

Приложения:

Ответы

Ответ дал: polina78177
1

Ответ:

я так написала и мне поставили 5

Пошаговое объяснение:

я не расписывая написала

Приложения:

oormms3: а )так же получилось б)спасибо
Вас заинтересует