Ответы
Ответ дал:
1
Ответ:
у нас одинаковые все уравнения!
Приложения:

Ответ дал:
1
Ответ:
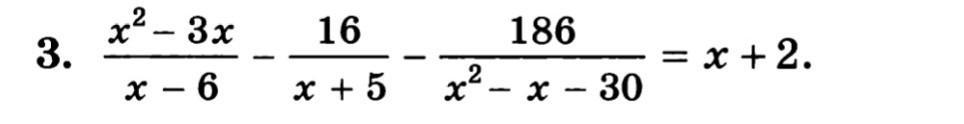
x₁=-6; x₂ = 5
Пошаговое объяснение:
по теореме Виета
x₁+x₂=-1
x₁*x₂=-30
x₁=-6; x₂ = 5
Вас заинтересует
2 года назад
2 года назад
2 года назад
7 лет назад
9 лет назад