Решите 8-ое пожалуйста
Приложения:

ElenaNorka:
Что именно надо сделать?
Ответы
Ответ дал:
0
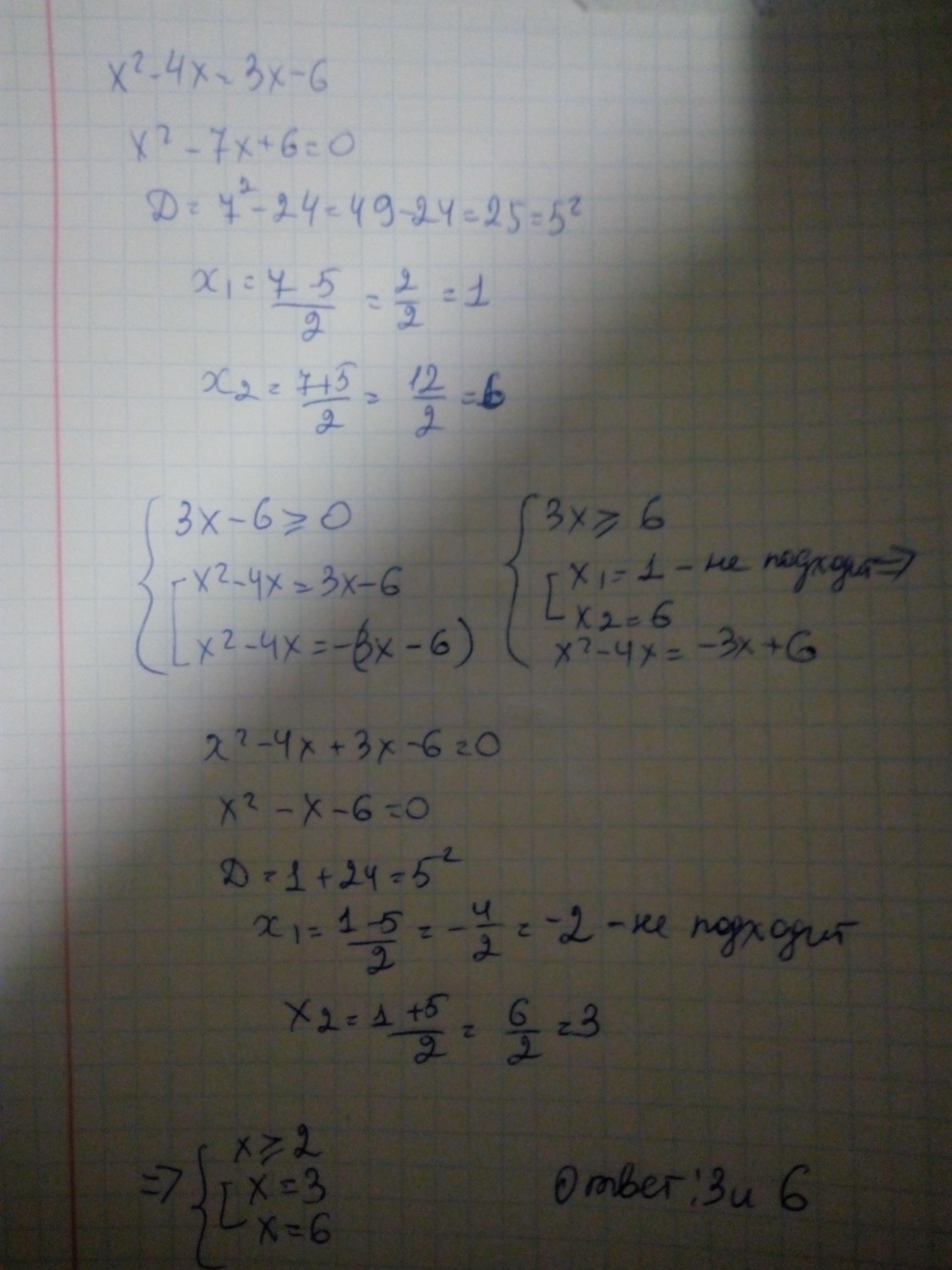
Ответ:в файле
Объяснение:
Приложения:

Ответ дал:
0
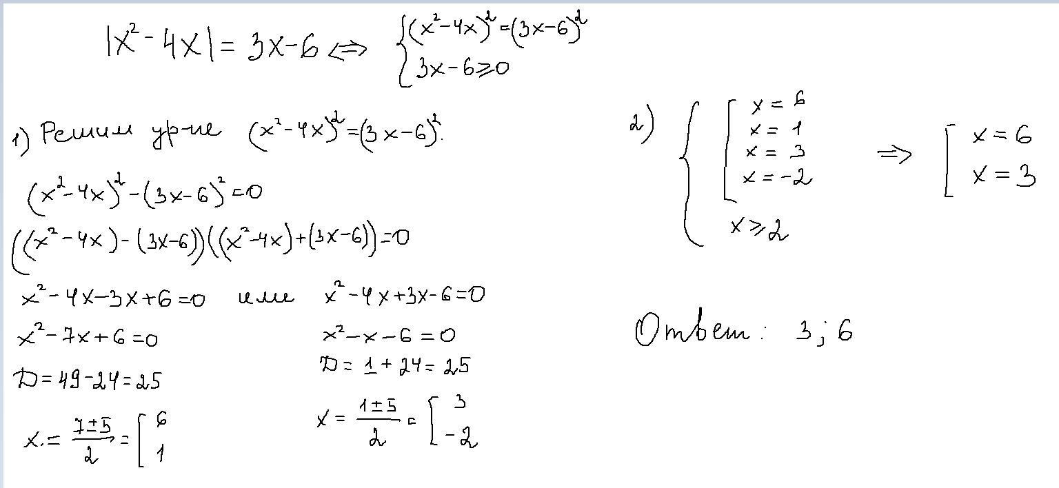
Решение на фотографии.
Приложения:

Вас заинтересует
2 года назад
2 года назад
2 года назад
2 года назад
7 лет назад
7 лет назад
9 лет назад