• Предмет: Алгебра
  • Автор: aleksandramazu88
  • Вопрос задан 3 года назад

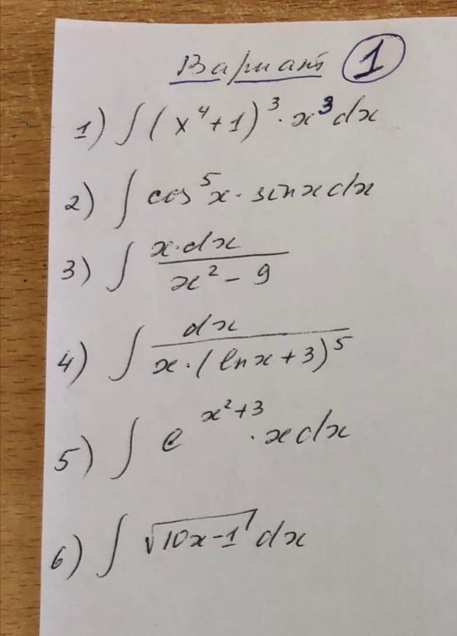
Помогите пожалуйста!!! Нужно решить примеры срочно!!

Приложения:

Ответы

Ответ дал: Miroslava227
0

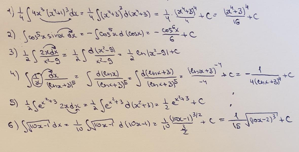
Ответ:

решение на фотографии

Приложения:
Вас заинтересует