• Предмет: Математика
  • Автор: chloekamski
  • Вопрос задан 3 года назад

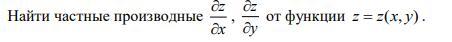
Прошу помощи, помогите найти частные производные (1 фото условие на 2 фото примеры, их 2) буду по гроб благодарен !!!

Приложения:

Ответы

Ответ дал: Miroslava227
1

Ответ:

решение на фотографии

там где с U, V - это формула

Приложения:

chloekamski: благодарю вас
Вас заинтересует