• Предмет: Математика
  • Автор: Devillemon
  • Вопрос задан 3 года назад

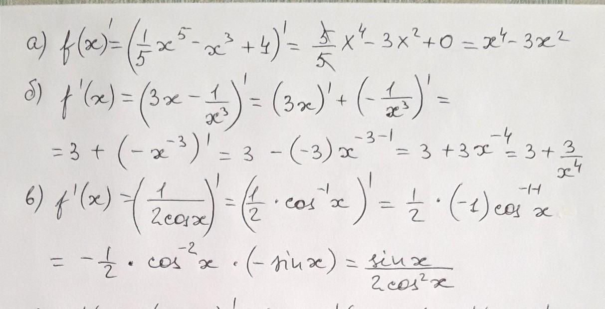
помогите пожалуйста найти ппоизводную функцию ​

Приложения:

Ответы

Ответ дал: casper7777
1

Ответ:

Пошаговое объяснение:

Решено !

Приложения:
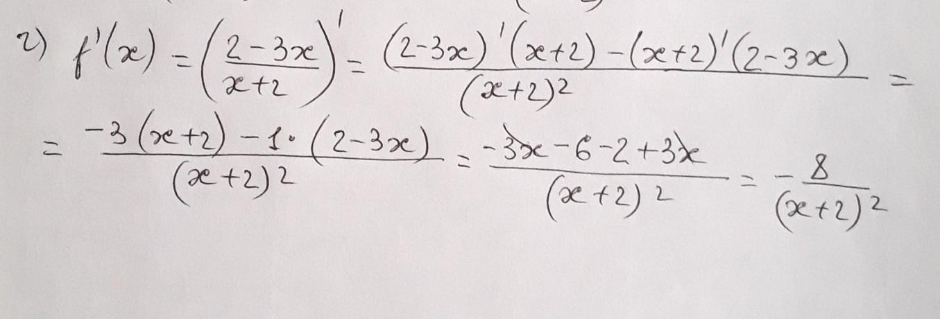
Ответ дал: sharofat0
1

Ответ:

Найдите производную.

Приложения:
Вас заинтересует