• Предмет: Математика
  • Автор: tigaiilya
  • Вопрос задан 3 года назад

помогите решить
Срочно дам 20 баллов

Приложения:

Ответы

Ответ дал: Alexandr130398
1

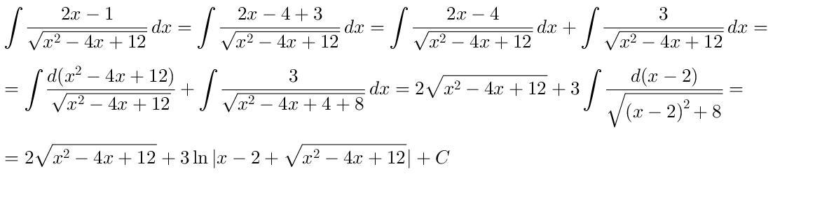
Ответ:

2\sqrt{x^2-4x+12}+3\ln|x-2+\sqrt{x^2-4x+12}|+C

Пошаговое объяснение:

Приложения:
Ответ дал: GluV
0

Ответ:

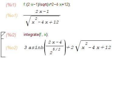
2\sqrt{(x-2)^2+8}+ 3asinh(\frac{x-2}{2\sqrt{2}})+Const

Пошаговое объяснение:

x^{2} -4x+12=(x-2)^{2} +8

2x-1=2(x-2)+3

Интеграл разобьем на два

\int\frac{2(x-2)}{\sqrt{(x-2)^2+8} } } \, dx +\int\frac{3}{\sqrt{(x-2)^2+8} } } \, dx

Замечая, что d((x-2)^2)=2(x-2)dx, перепишем первый интеграл

\int\frac{1}{\sqrt{(x-2)^2+8} } } \, d(x-2)^2=\int\frac{1}{\sqrt{t+8} } } \, dt=2\sqrt{t+8} =2\sqrt{(x-2)^2+8}

Перепишем подинтегральную функцию для второго интеграла, как

\frac{3}{\sqrt{(x-2)^2+8}}=\frac{3}{2\sqrt{2}}\frac{1}{\sqrt{(\frac{x-2}{2\sqrt{2})})^2+1}}

Тогда интеграл запишется, как

\int{\frac{3}{2\sqrt{2}}\frac{1}{\sqrt{(\frac{x-2}{2\sqrt{2})})^2+1}}} \, dx = 3asinh(\frac{x-2}{2\sqrt{2}})

asinh это гиперболический арксинус

Ответ : 2\sqrt{(x-2)^2+8}+ 3asinh(\frac{x-2}{2\sqrt{2}})+Const

Проверяем себя в Maxima

Приложения:
Вас заинтересует