• Предмет: Математика
  • Автор: YliaZvaruch
  • Вопрос задан 3 года назад

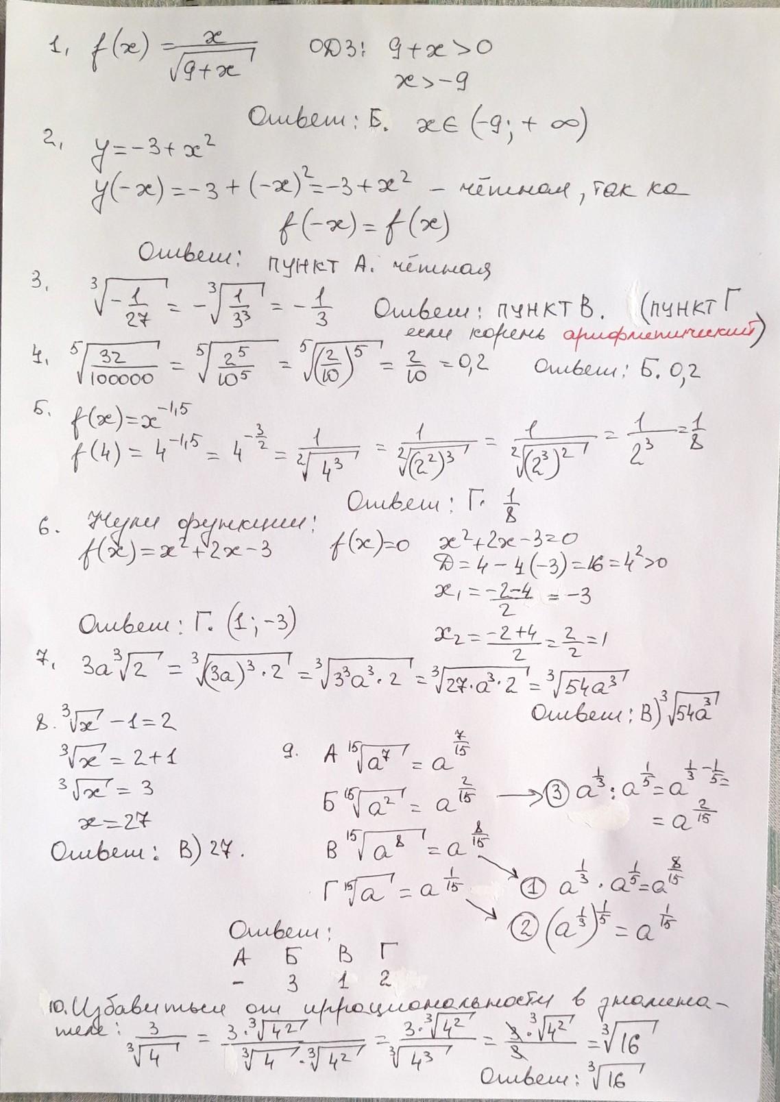
Дуже потрібно, будь ласка

Приложения:

Ответы

Ответ дал: brawlik655
0

Ответ:

1.а 2.б 3. б 4.в 5.а 6.г 7.б 8.б 9.1-б 2-а 3-г 10.Пример не верен!

Пошаговое объяснение:

Ответ дал: sharofat0
0

Ответ:

Тест по математике.

Арифметический корень.

Приложения:
Вас заинтересует