• Предмет: Математика
  • Автор: sks91770
  • Вопрос задан 3 года назад

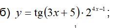
Найти производную !!ДАЮ 30 БАЛЛОВ!!+)

Приложения:

Ответы

Ответ дал: sezimakkulyeva
2

10000000000000000000%

Приложения:
Вас заинтересует