• Предмет: Математика
  • Автор: alik2356
  • Вопрос задан 3 года назад

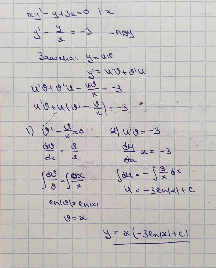
Очень срочно надо решать этот пример.Помогите пжл
xy'=y-3x​

Ответы

Ответ дал: Miroslava227
1

Ответ:

решение на фотографии

Приложения:
Вас заинтересует