• Предмет: Математика
  • Автор: alkr2838
  • Вопрос задан 3 года назад

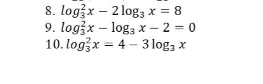
Помогите решить 3 примера

Приложения:

Ответы

Ответ дал: Miroslava227
1

Ответ:

8. Замена:

 log3(x) = t \\  {t}^{2}  - 2t - 8 = 0 \\ t1 = 4 \\ t2 =  - 2 \\  log3(x)  = 4 \\ x1 = 81 \\  log3(x)  =  - 2 \\ x2 = 1 \div 9

9.

 {t}^{2}  - t - 2 = 0 \\ t1 = 2 \\ t2 =  - 1 \\  log3(x) = 2 \\ x1 = 9 \\  log3(x)   =  - 1 \\ x2 = 1 \div 3

10.

 {t}^{2}  + 3t - 4 = 0 \\ t1 = 1 \\ t2 =  - 4 \\ l \\  log3(x)  = 1 \\ x1 = 3 \\  log3(x)  =  - 4 \\ x2 = 1 \div 81

Вас заинтересует