Помогите пожалуйста!!!!!
Приложения:



Rakvium:
Ого. Лучше бы такое отдельными вопросами кидать, - быстрее будет, но я возьмусь :)
Ответы
Ответ дал:
1
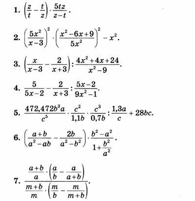
Решение заданий с первого изображения:
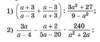
Решение заданий со второго изображения:
Доказательство тождества с третьего изображения:
Вас заинтересует
2 года назад
2 года назад
2 года назад
7 лет назад
9 лет назад