Напишить рівняння реакцій та зазначте повну і скорочену
йонні форми.
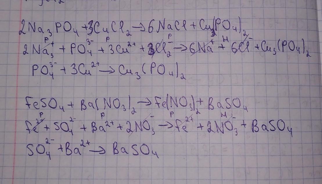
1) натрій ортофосфат + купрум ( ІІ ) хлорид →
2) ферум ( ІІІ ) сульфат + барій нітрат--->
ОЧЕНЬ СТРОЧНО ДАЮ 30 БАЛЛОВ
Ответы
Ответ дал:
2
ответ на фото, удачи;)
Приложения:

ega70831:
помогите пожалуйста еще с химией https://znanija.com/task/39791408
Вас заинтересует
2 года назад
2 года назад
7 лет назад
7 лет назад
9 лет назад