Ответы
Ответ дал:
1
Ответ:
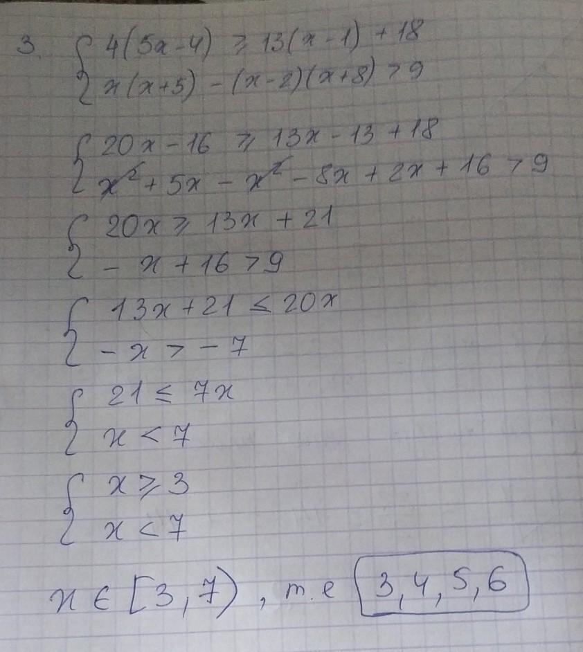
полное решение на фото
Приложения:

Ответ дал:
0
Ответ:
Повне рішення на фото)
Приложения:

Вас заинтересует
2 года назад
2 года назад
2 года назад
2 года назад
7 лет назад
7 лет назад
9 лет назад
9 лет назад