• Предмет: Математика
  • Автор: Rivai2
  • Вопрос задан 3 года назад

Найти :
1) cos a +sin a, если tg a/2=3
2) sin a - cos a, если tg a/2=3

Ответы

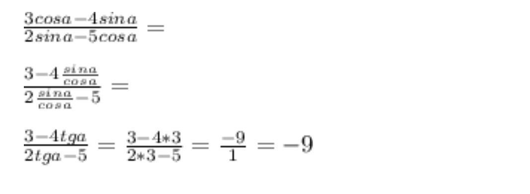
Ответ дал: marina303018
0

Пошаговое объяснение:

!!!!!!!!!!++!!!;+***

Приложения:
Вас заинтересует
9 лет назад