• Предмет: Алгебра
  • Автор: MaryBenkovskaya
  • Вопрос задан 3 года назад

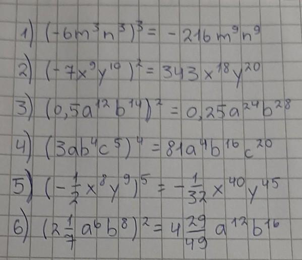
ПОМОГИТЕ ПЛИЗ!! Виконайте піднесення до степеня:

Приложения:

Ответы

Ответ дал: elenaignatyeva1
1

Объяснение:

смотри....................

Приложения:

MaryBenkovskaya: спасибо!
Вас заинтересует