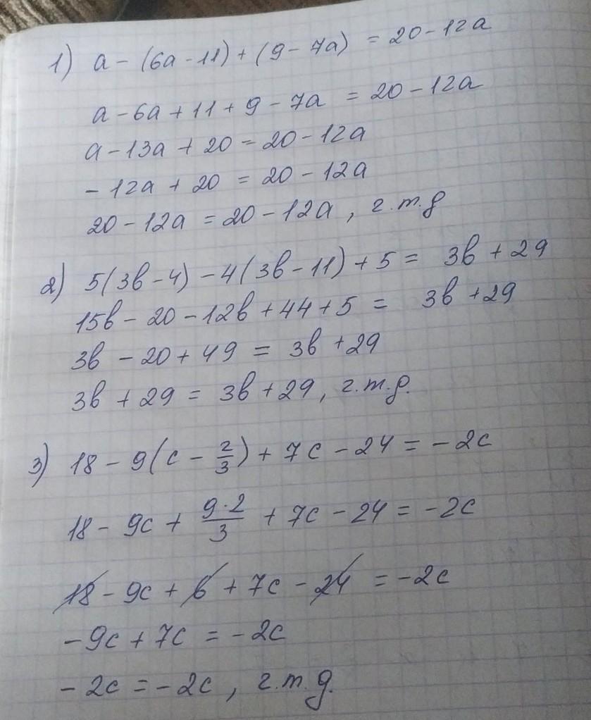
докажите тожество
1) а-(6а-11)+(9-7а)равно20-12а
2) 5(3b-4)-4(3b-11)+5равно36+29
3)18-9(c- две третьих)+7c-24равно-2с
Ответы
Ответ дал:
1
Ответ:
Полное решение на фото)
Приложения:

ruslanhamidulin882:
спасибо большое
Вас заинтересует
2 года назад
2 года назад
2 года назад
2 года назад
7 лет назад