Ответы
Ответ дал:
1
если не сложно отметь ответ лучшим
нажми на корону
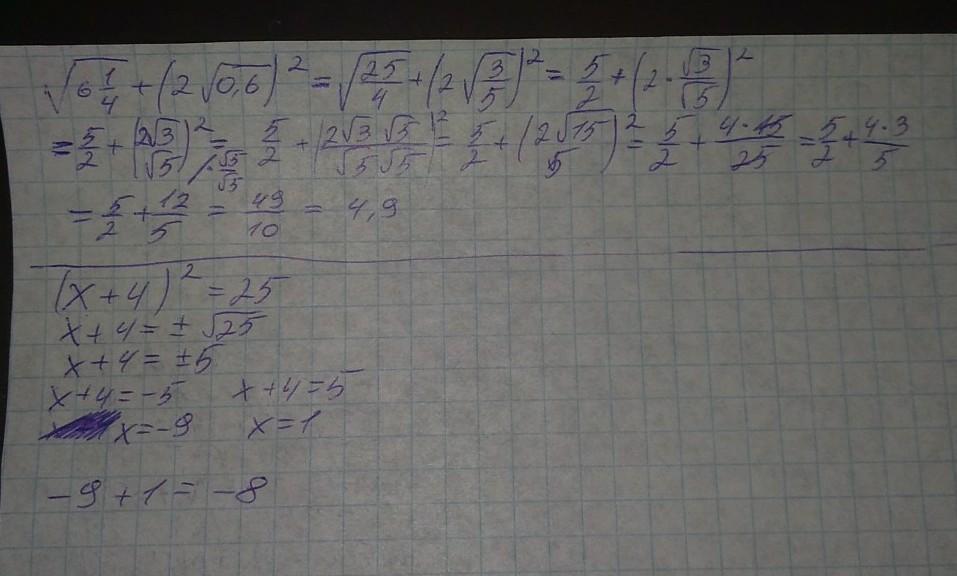
Приложения:

Вас заинтересует
2 года назад
2 года назад
2 года назад
7 лет назад
9 лет назад
9 лет назад