• Предмет: Математика
  • Автор: st96ars
  • Вопрос задан 3 года назад

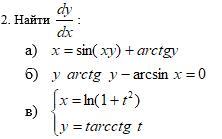
Помогите найти дифференциалы! Заранее спасибо.

Приложения:

Ответы

Ответ дал: Miroslava227
1

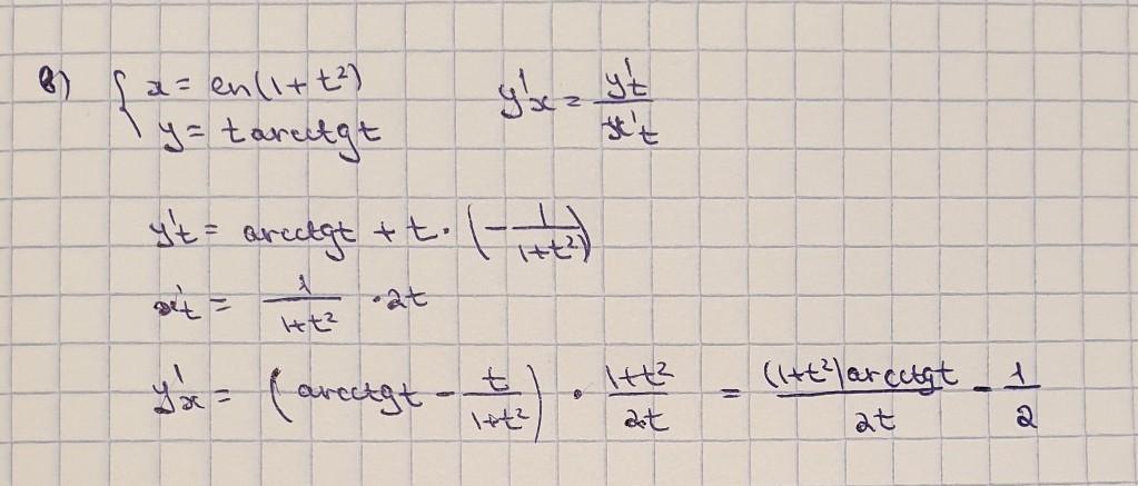
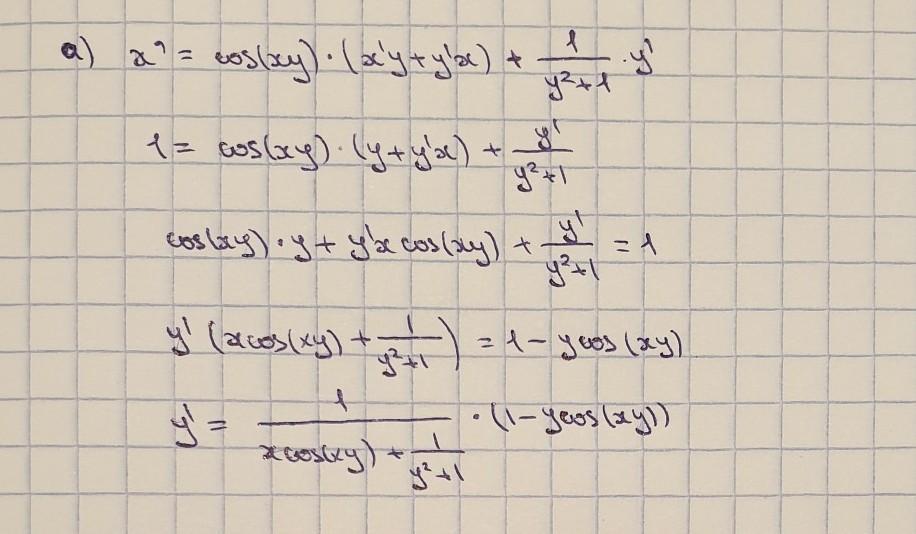
Ответ:

решение на фотографиях

Приложения:
Вас заинтересует