Срочно!
Промінь світла падає на межу розділу двох прозорих середовищ вода - алмаз
під кутом 45 о . Визначити кут заломлення світла в алмазі. Показники
заломлення води 1,33 і алмазу - 2,4.
Ответы
Ответ дал:
18
Объяснение:
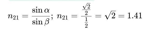
ответ=1.40))))))))))))))
Приложения:

Вас заинтересует
2 года назад
7 лет назад
7 лет назад
9 лет назад