• Предмет: Математика
  • Автор: ranel1411
  • Вопрос задан 3 года назад

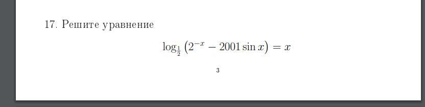
Помогите решить уравнение

Приложения:

Ответы

Ответ дал: filuksistersp735lh
1

Пошаговое объяснение:

 log_{ \frac{1}{2} }( {2}^{ - x} - 2001 sinx)  = x \\ {2}^{ - x}  - 2001sinx =   (\frac{1}{2} )^{x}  \\  {2}^{ - x}  - 2001 sinx =  {2}^{ - x}  \\  - 2001 sinx = 0 \\ sinx = 0 \\ x = \pi \: n,n∈Z

Ответ дал: gal4enok0071
0
!!!!!!!!!!!!!!!!!!!!
Приложения:
Вас заинтересует
8 лет назад