Помогите пожалуйста решить Линейные однородные дифференциальные уравнения, даю 22 баллов
Приложения:

Ответы
Ответ дал:
1
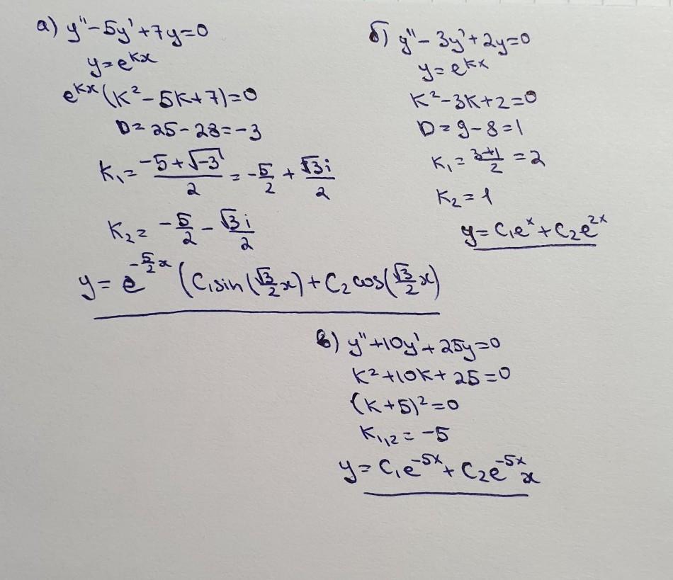
Ответ:
решение на фотографиях
Приложения:

shadya07:
спасибо большое!!!
Вас заинтересует
2 года назад
2 года назад
2 года назад
7 лет назад
7 лет назад
9 лет назад