• Предмет: Математика
  • Автор: calebophelia
  • Вопрос задан 3 года назад

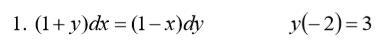
НУЖНА ПОМОЩЬ С ДИФФЕРЕНЦИАЛЬНЫМИ УРАВНЕНИЯМИ!!!

Приложения:

Ответы

Ответ дал: Vasily1975
2

Ответ: y=12/(1-x)-1.

Пошаговое объяснение:

Это уравнение относится к классу уравнений с разделяющимися переменными. Разделив обе части уравнения на произведение (1-x)*(1+y), получим уравнение:

dx/(1-x)=dy/(1+y), или d(1+y)/(1+y)=-d(1-x)/(1-x). Интегрируя обе части, получаем: ln/1+y/=-ln/1-x/+ln/C/, где C - любое отличное от нуля число. Отсюда 1+y=C/(1-x). Используя условие y(-2)=3, приходим к уравнению 1+3=C/(1+2), откуда находим C=12. Поэтому искомое частное решение таково: 1+y=12/(1-x), или y=12/(1-x)-1.  

Вас заинтересует