• Предмет: Математика
  • Автор: acenkomaria01
  • Вопрос задан 3 года назад

помогите!!!! очень срочно!!!пожалуйста ​

Приложения:

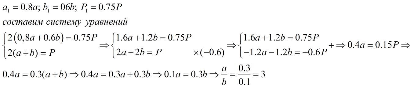
ВикаБач: Был периметр 2(a+b); Стал периметр 2(0,8a+0.6b). значит, (0.8a+0.6b)=0.75(a+b); 0.05a=0.15b; a= 3b. Ответ: В 3 раза.
acenkomaria01: откуда взялось 0,8 и 0,6 и 0,75?
ВикаБач: ?? Это проценты. 0,8=80%=10%-20%, 0,6=60%=100%-40%, 0,75=75%=100%-25%

Ответы

Ответ дал: palilov243659
1

Ответ:

в 3 раза

Пошаговое объяснение:

////

Приложения:

ВикаБач: Сложнооо... Зачем вводить Р? Там же в пару строк сразу a=3b.
Вас заинтересует