• Предмет: Математика
  • Автор: ermilaevaanastas29
  • Вопрос задан 3 года назад

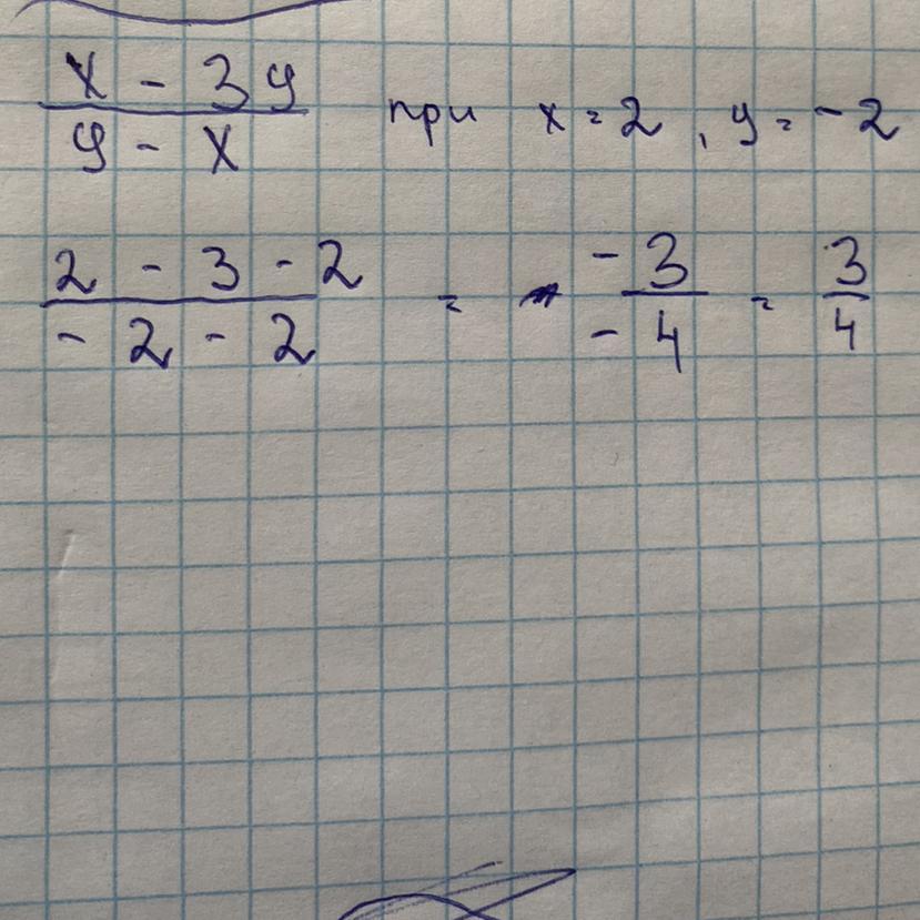
Найдите значения выражения х-3у/у-х, если х=2, у=-2
С решением, пожалуйста

Ответы

Ответ дал: monjj
0
Решение на прикрепленном фото
Ответ:3/4
Приложения:
Вас заинтересует