• Предмет: Математика
  • Автор: ttapawa
  • Вопрос задан 3 года назад

Помогите, пожалуйста.
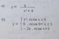
Исследовать функцию на непрерывность. Если есть точки разрыва, указать характер разрыва.
Можно с подробным решением?

Приложения:

Ответы

Ответ дал: znanijaovs02
1

Смотрите ответ во вложенном файле

Приложения:

ttapawa: спасибо большое
Вас заинтересует